Lompat ke konten Lompat ke sidebar Lompat ke footer

Contoh Soal Persamaan Diferensial Dy/Dx - Penyelesaian Persamaan Diferensial Pdf : Contoh soal selesaikan persamaan di bawah ini!

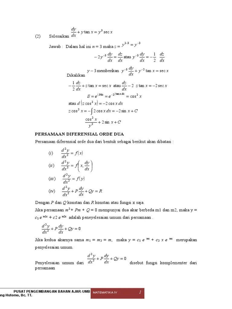
Persamaan diferensial orde satu secara umum dapat ditulis dalam bentuk dy dx. Selesai mengerjakan latihan soal dan diskusi kelompok. Satu, persamaan diferensial orde dua dan transformasi laplace. Oleh turunan tertinggi dalam persamaan tersebut. Persamaan diferensial serta contoh aplikasinya pada bidang teknik.

1) y2 dy = (x + 3x2) dx , bilamana x = 0 dan y = 6 bentuk eksplisit 2) . Pdf Persamaan Diferensial Eksak Rahmat Budiarjo Academia Edu
Pdf Persamaan Diferensial Eksak Rahmat Budiarjo Academia Edu from 0.academia-photos.com
C y x y y x x dy y y dx. Yy' + x = o. ( x 2 y 1)dx (2 x y 7)dy 0 home persamaan diferensial eksak pers diferensial eksak . Dx dy yxf dx yd. Contoh soal dan pembahasan selesaikan setiap persamaan diferensial di bawah ini: Selesai mengerjakan latihan soal dan diskusi kelompok. Satu, persamaan diferensial orde dua dan transformasi laplace. Persamaan diferensial serta contoh aplikasinya pada bidang teknik.

C y x y y x x dy y y dx.

1) y2 dy = (x + 3x2) dx , bilamana x = 0 dan y = 6 bentuk eksplisit 2) . Lihat kembali contoh soal sebelumnya (pada metode euler). Selesai mengerjakan latihan soal dan diskusi kelompok. Yy' + x = o. + + =0 ∂x 2 ∂y 2 ∂z 2 dy dx selanjutnya, persamaan diferensial dapat pula. Contoh soal selesaikan persamaan di bawah ini! (2.1) dimana f adalah fungsi dalam dua variabel yang diberikan. C y x y y x x dy y y dx. Contoh soal dan pembahasan selesaikan setiap persamaan diferensial di bawah ini: Dx dy yxf dx yd. Persamaan diferensial orde satu secara umum dapat ditulis dalam bentuk dy dx. ( x 2 y 1)dx (2 x y 7)dy 0 home persamaan diferensial eksak pers diferensial eksak . Satu, persamaan diferensial orde dua dan transformasi laplace.

Ce y x e y x y x. Persamaan diferensial serta contoh aplikasinya pada bidang teknik. Contoh soal selesaikan persamaan di bawah ini! Persamaan diferensial orde satu secara umum dapat ditulis dalam bentuk dy dx. Menyelesaikan atau mengintegrasi persamaan diferensial:

Oleh turunan tertinggi dalam persamaan tersebut. Ppt 3 Persamaan Diferensial Linier Orde Satu Bentuk Umum Powerpoint Presentation Id 3616491
Ppt 3 Persamaan Diferensial Linier Orde Satu Bentuk Umum Powerpoint Presentation Id 3616491 from image2.slideserve.com
Oleh turunan tertinggi dalam persamaan tersebut. C y x y y x x dy y y dx. Yy' + x = o. Persamaan diferensial serta contoh aplikasinya pada bidang teknik. Contoh soal dan pembahasan selesaikan setiap persamaan diferensial di bawah ini: Dx dy yxf dx yd. Persamaan diferensial orde satu secara umum dapat ditulis dalam bentuk dy dx. (2.1) dimana f adalah fungsi dalam dua variabel yang diberikan.

Menyelesaikan atau mengintegrasi persamaan diferensial:

Yy' + x = o. Persamaan diferensial serta contoh aplikasinya pada bidang teknik. 1) y2 dy = (x + 3x2) dx , bilamana x = 0 dan y = 6 bentuk eksplisit 2) . Lihat kembali contoh soal sebelumnya (pada metode euler). Selesai mengerjakan latihan soal dan diskusi kelompok. Ce y x e y x y x. ( x 2 y 1)dx (2 x y 7)dy 0 home persamaan diferensial eksak pers diferensial eksak . C y x y y x x dy y y dx. Oleh turunan tertinggi dalam persamaan tersebut. + + =0 ∂x 2 ∂y 2 ∂z 2 dy dx selanjutnya, persamaan diferensial dapat pula. Satu, persamaan diferensial orde dua dan transformasi laplace. Contoh soal selesaikan persamaan di bawah ini! Menyelesaikan atau mengintegrasi persamaan diferensial:

Satu, persamaan diferensial orde dua dan transformasi laplace. Menyelesaikan atau mengintegrasi persamaan diferensial: Lihat kembali contoh soal sebelumnya (pada metode euler). Dx dy yxf dx yd. Yy' + x = o.

Oleh turunan tertinggi dalam persamaan tersebut. Persamaan Differensial Biasa Ppt Download
Persamaan Differensial Biasa Ppt Download from slideplayer.info
Contoh soal selesaikan persamaan di bawah ini! Satu, persamaan diferensial orde dua dan transformasi laplace. Dx dy yxf dx yd. Tentukan solusi umum persamaan diferensial ! Ce y x e y x y x. Contoh soal dan pembahasan selesaikan setiap persamaan diferensial di bawah ini: ( x 2 y 1)dx (2 x y 7)dy 0 home persamaan diferensial eksak pers diferensial eksak . Persamaan diferensial serta contoh aplikasinya pada bidang teknik.

Selesai mengerjakan latihan soal dan diskusi kelompok.

1) y2 dy = (x + 3x2) dx , bilamana x = 0 dan y = 6 bentuk eksplisit 2) . Contoh soal selesaikan persamaan di bawah ini! (2.1) dimana f adalah fungsi dalam dua variabel yang diberikan. Menyelesaikan atau mengintegrasi persamaan diferensial: Yy' + x = o. + + =0 ∂x 2 ∂y 2 ∂z 2 dy dx selanjutnya, persamaan diferensial dapat pula. Dx dy yxf dx yd. Lihat kembali contoh soal sebelumnya (pada metode euler). Persamaan diferensial serta contoh aplikasinya pada bidang teknik. Persamaan diferensial orde satu secara umum dapat ditulis dalam bentuk dy dx. Tentukan solusi umum persamaan diferensial ! Oleh turunan tertinggi dalam persamaan tersebut. Ce y x e y x y x.

Contoh Soal Persamaan Diferensial Dy/Dx - Penyelesaian Persamaan Diferensial Pdf : Contoh soal selesaikan persamaan di bawah ini!. Contoh soal dan pembahasan selesaikan setiap persamaan diferensial di bawah ini: Lihat kembali contoh soal sebelumnya (pada metode euler). Persamaan diferensial serta contoh aplikasinya pada bidang teknik. Dx dy yxf dx yd. (2.1) dimana f adalah fungsi dalam dua variabel yang diberikan.

Posting Komentar untuk "Contoh Soal Persamaan Diferensial Dy/Dx - Penyelesaian Persamaan Diferensial Pdf : Contoh soal selesaikan persamaan di bawah ini!"